
Questo articolo è la nuova puntata della rubrica in cui Ciao Elsa analizza il tuo fondo di categoria.
Prima di analizzare in dettaglio il fondo, faremo un breve ed esaustivo riassunto delle regole e delle caratteristiche dei fondi pensione.
Se sei già ben informato su questa prima parte generale, puoi scendere nella pagina e leggere direttamente la parte dedicata al tuo fondo.
Cos’è un fondo pensione
I fondi pensione sono strumenti finanziari di investimento a lungo termine, pensati per darti un sostegno economico quando smetterai di lavorare.
In concreto, puoi immaginare un fondo pensione come un contenitore intestato a te in cui, durante il corso della tua vita lavorativa, versi del denaro per accumularlo e farlo fruttare.
Qualunque fondo pensione tu scelga, ti mette a disposizione diverse linee d’investimento che potrai scegliere e modificare nel tempo.
In caso di necessità prima della pensione, hai la possibilità di prelevare somme di denaro dal tuo fondo.
Le anticipazioni previste nei fondi pensione sono di tre tipi:
- anticipazione per spese mediche, disponibile sempre e fino al 75% del capitale contenuto;
- anticipazione per la prima casa, disponibile dopo 8 anni di adesione al fondo e fino al 75% del capitale contenuto;
- anticipazione per qualunque motivo, disponibile dopo 8 anni di adesione al fondo e fino al 30% del capitale contenuto.
Nei fondi pensione sono previste alcune tassazioni che devi allo Stato:
- tassazione sulle plusvalenze, dovuta ogni anno nella misura del 20% su azioni e obbligazioni e del 12,5% sui Titoli di Stato;
- quando andrai in pensione, lascerai allo Stato una parte del tuo fondo che verrà tassato, sul versato, con un’aliquota che va da un minimo del 9% a un massimo del 15% e che verrà calcolata in base al tempo, cioè in base a quanti anni avrai trascorso nella previdenza complementare.
Se oggi apri il tuo primo fondo pensione e vai in pensione nei prossimi 15 anni, la tua tassazione è la massima (15%). Per ogni anno di permanenza in più, oltre al 15esimo, questa tassazione diminuisce dello 0,3% all’anno, finché si blocca al minimo possibile (9%) se resti nella previdenza complementare 35 anni o più.
Quindi, più giovane sei nel momento in cui aderisci, meno pagherai di tasse alla fine e la tassazione che pagherai verrà calcolata sulla data di prima adesione, cioè il giorno in cui hai aderito al tuo primo fondo pensione.
I fondi pensione sono tutti regolati dal d.Lgs 252/2005 che ti dà la possibilità di effettuare il trasferimento di un fondo in un altro fondo, senza che la data di prima adesione cambi.
C’è, invece, un caso in cui perdi la data di adesione al tuo fondo: se effettui il riscatto prima di essere in pensione.
Questa possibilità è prevista in caso di perdita del lavoro, premorienza e invalidità permanente.
Se riscatti il tuo fondo pensione perché sei senza lavoro da poco, perdi la tassazione agevolata dal 15% al 9% (prevista al pensionamento) e paghi una tassazione fissa al 23%.
In fase di accumulo i fondi pensione prevedono vantaggi fiscali consistenti che non sono previsti in nessun altro tipo di strumento di investimento.
- TFR: questo è il primo modo con cui un dipendente può alimentare il suo fondo pensione. Se fai versare il tuo TFR nel tuo fondo, a fine corsa pagherai la tassazione dal 15% al 9% mentre, se lasci il TFR in azienda, pagherai un'aliquota piena, che varia da un minimo del 23% a un massimo del 43% e che verrà calcolata in base alle tue ultime cinque RAL (Retribuzione Annua Lorda). Se lasci il TFR in azienda, più guadagni, più paghi.
- Contributo volontario: se versi nel fondo una parte dei tuoi risparmi personali, otterrai il vantaggio fiscale della deduzione, cioè il meccanismo con cui lo Stato abbatte l’imponibile su cui paghi le tasse. Ogni anno, infatti, il tuo fondo pensione ti dà la possibilità di portare in deduzione fino a 5.164,57 € (i vecchi 10 milioni di Lire), recuperando la tua aliquota IRPEF massima che varia in base alla tua RAL.

Quando sarai arrivato in pensione potrai ritirare il tuo fondo in tre modi.
- 100% rendita: la rendita è una seconda pensione che entra nel tuo conto corrente e si affianca alla pensione pubblica. Ci sono vari tipi di rendita: vitalizia, reversibile, certa, controassicurata e con LTC (Long Term Care).
- fino al 50% in capitale e 50% in rendita: la legge ti permette di ritirare fino al 50% del tuo fondo in capitale, mentre la percentuale residua viene convertita in rendita.
- 100% capitale: questa opzione di ritiro è possibile solo se il tuo fondo non supera una certa soglia economica che aumenterà negli anni (oggi circa 110.000 € a 67 anni).
Al momento, in Italia, esistono circa 150 fondi pensione collocabili, suddivisi in tre famiglie:
- PIP (Piani Individuali Pensionistici)
- FPA (Fondi Pensione Aperti)
- FPN (Fondi Pensione Negoziali o di categoria)
Tutti i fondi pensione sono sottoposti alla vigilanza della COVIP e le regole che abbiamo visto finora valgono in tutti.
Tra un fondo e l’altro, però, cambiano i costi, i rendimenti e la possibilità di accedere al contributo datoriale.
Per aiutarti nella scelta del tuo fondo pensione, noi di Ciao Elsa abbiamo creato un comparatore di fondi pensione gratuito e personalizzabile.
Cosa sono i fondi di categoria
I fondi pensione negoziali (FPN) sono fondi di natura collettiva, istituiti a partire da un accordo stipulato tra lavoratori, sindacati, associazioni di categoria e datori di lavoro.
Questi fondi sono destinati a specifiche categorie di lavoratori e, per aderire a un fondo di categoria, devi essere un lavoratore che appartiene a una determinata azienda o gruppo di imprese o a una specifica categoria professionale, tipicamente devi essere assunto tramite un CCNL.
I fondi di categoria prevedono il contributo datoriale: una percentuale della tua RAL che, sotto forma di extra, entra ogni anno nel tuo fondo pensione, oltre al TFR, se sei disposto a versare nel tuo fondo pensione, anche tu, una piccola percentuale del tuo stipendio prelevata direttamente dalla busta paga.
Noi di Ciao Elsa lo chiamiamo “soldi gratis” perché il contributo datoriale, di solito corrisponde a qualche centinaio di euro in più che entra nel tuo fondo pensione ogni anno se hai scelto di versarci il TFR e di sfruttare l’accordo datoriale.
Previdenza Cooperativa
Previdenza Cooperativa è il fondo pensione complementare dedicato ai lavoratori, soci e dipendenti di imprese cooperative e ai lavoratori dipendenti addetti ai lavori di sistemazione idraulico-forestale e idraulico-agraria.
Cenni generali
Previdenza Cooperativa è stato istituito nel 2018 dalla fusione di:
- Cooperlavoro, ex fondo pensione per i dipendenti delle cooperative di lavoro, delle loro società collegate, delle associazioni cooperative;
- Filcoop, precedente fondo pensione rivolto ai lavoratori dipendenti addetti ai lavori di sistemazione idraulico-forestale ed idraulico-agraria, per i dipendenti da Cooperative di trasformazione dei prodotti agricoli e zootecnici e lavorazione di prodotti alimentari e per i lavoratori dipendenti da cooperative e consorzi agricoli.
- Previcooper, già fondo pensione dedicato ai lavoratori dipendenti da aziende che applicano il CCNL della Distribuzione Cooperativa
Oggi opera con il numero di Albo COVIP 170.
A fine 2024 contava circa 105.000 iscritti, di cui poco più di 13.000 contrattuali e quasi 20.500 taciti, e un patrimonio in gestione che supera 2,4 miliardi di euro.
Chi può aderire a Previdenza Cooperativa
Posso aderire a Previdenza Cooperativa:
- i soci lavoratori delle cooperative di lavoro con rapporto di lavoro in forma subordinata o autonoma o in qualsiasi altra forma, compresi i rapporti di collaborazione coordinata non occasionale, con cui contribuiscono comunque al raggiungimento degli scopi sociali.
- i lavoratori dipendenti delle imprese cooperative
- i lavoratori dipendenti dei consorzi costituiti dalle imprese cooperative
- i lavoratori dipendenti di società costituite o comunque partecipate prevalentemente dalle imprese cooperative o consorzi
- I lavoratori dipendenti a cui si applicano i contratti e gli accordi collettivi stipulati dalle Centrali e Associazioni o Federazioni Cooperative di settore e dalle Organizzazioni Sindacali
- i lavoratori dipendenti delle associazioni cooperative A.G.C.I., Legacoop, Confcooperative, compresi i dipendenti delle loro strutture settoriali, territoriali e delle società e degli enti da esse promossi e controllati la cui attività sia strettamente connessa e affine a quella istituzionale dell’organizzazione promotrice
- i lavoratori delle imprese sociali aderenti alle fonti istitutive
- i lavoratori dipendenti delle Fabbricerie Italiane.
Infine, Previdenza Cooperativa offre la possibilità ai suoi aderenti di iscrivere anche i propri familiari a carico, il più delle volte, i figli e in qualche caso anche il coniuge.
Linee d’investimento
Previdenza Cooperativa mette a disposizione dei suoi aderenti tre linee di investimento:
- Sicuro. È il comparto garantito con grado di rischio basso, che garantisce la restituzione del capitale in numerosi casi:
- pensionamento
- riscatto per decesso, invalidità permanente, inoccupazione compresa tra 12 e 48 mesi o superiore a 48 mesi, per perdita dei requisiti di partecipazione
- anticipazioni per spese sanitarie, anticipazioni per acquisto o ristrutturazione prima casa, anticipazione per ulteriori esigenze
- trasferimento della posizione a seguito di perdita dei requisiti di partecipazione
- richiesta di RITA.
Al 31/12/2024, la linea investiva totalmente in obbligazioni. La gestione è di tipo “total return” e ha l’obiettivo di conseguire, nel periodo di durata della Convenzione con l’attuale gestore (Unipol Assicurazioni), un rendimento annuale in linea o superiore con quello dell’inflazione italiana, indipendentemente dall’andamento dei mercati finanziari.
Il comparto è suggerito per chi ha un orizzonte temporale breve, fino a 5 anni.
- Bilanciato. Nonostante il nome, la linea è catalogata come un obbligazionario misto, con grado di rischio medio/basso e orizzonte temporale dai 5 ai 15 anni. Al 31/12/2024, il comparto era composto al 69% in obbligazioni e il restante 31% in azioni. La gestione risponde alle esigenze di un soggetto che non è particolarmente propenso al rischio e privilegia la continuità dei risultati nei singoli esercizi, comunque accettando un’esposizione al rischio moderata.
- Dinamico. Comparto con grado di rischio medio-alto e orizzonte temporale medio/lungo (chi ha oltre 15 anni di attività lavorativa prima del pensionamento). Al 31/12/2024, investiva il 74% in azioni e il restante in obbligazioni. La gestione risponde alle esigenze di un soggetto che ricerca rendimenti più elevati nel lungo periodo ed è disposto ad accettare una maggiore esposizione al rischio, con una potenziale discontinuità dei risultati nei singoli esercizi.
Le linee d’investimento possono essere scelte e modificate autonomamente nel corso del tempo.
Rendimenti storici
Vediamo ora i rendimenti storici di queste tre linee d’investimento, estrapolando i dati ufficiali pubblicati nel sito della COVIP e ricordandoti che i rendimenti passati non sono garanzia dei rendimenti futuri.

Le percentuali indicate nella tabella si riferiscono, a partire da sinistra e andando verso destra, al rendimento del 2024, al rendimento medio annuo degli ultimi 3 anni (2022-2024), al medio annuo degli ultimi 5 anni (2020-2024) e al medio annuo degli ultimi 10 anni (2015-2024).
I comparti Bilanciato e Dinamico di Previdenza Cooperativa sono stati avviati nel 2020, e quindi come vedi, non sono presenti i risultati medi annui degli ultimi 10 e 20 anni. Pur avendo a disposizione unicamente il riferimento del risultato medio a 5 anni, si può già osservare come la percentuale di rendimento aumenta progressivamente man mano che aumenta la volatilità della linea d’investimento.
Ti segnaliamo, inoltre, che i rendimenti storici di Previdenza Cooperativa pubblicati sul sito COVIP sono netti.
In pratica, la COVIP ha già sottratto la tassazione annua sulle plusvalenze (12,5% sui Titoli di Stato e 20% su azioni e obbligazioni) e ha sottratto anche la percentuale di costo di gestione che Previdenza Cooperativa, come qualunque altro fondo, applica alle varie linee d’investimento.
Costi
Vediamo, quindi, quanto costa Previdenza Cooperativa che, come tutti i fondi di categoria, è senza scopo di lucro e applica una politica di costi molto contenuta.
Cominciamo dai costi da sostenere in fase di accumulo, direttamente a carico dell’aderente.

Previdenza Cooperativa non prevede costi di adesione né a carico dei lavoratori né eventualmente per l'iscrizione di un soggetto fiscalmente a carico.
Ogni anno, inoltre, Previdenza Cooperativa trattiene dal versato annuo un costo fisso di 12 € anche se nel corso dell’anno non sono stati effettuati versamenti.
Poco fa, quando abbiamo approfondito la parte dei rendimenti, abbiamo accennato al costo di gestione, un costo percentuale che varia da comparto a comparto e che viene applicato all’intero patrimonio del tuo fondo.
In pratica, Previdenza Cooperativa gestisce l’investimento finanziario per te e, in cambio, trattiene una piccola percentuale del tuo fondo.
La percentuale viene trattenuta ogni tre mesi ed è calcolata su base mensile.
Vediamo, in dettaglio, questo costo.

Si segnala, inoltre, che nei comparti Bilanciato e Dinamico sono previste delle commissioni di incentivo se i risultati ottenuti superano in una certa misura quelli raggiunti dal benchmark di riferimento.
Come puoi notare, la percentuale varia da una linea all’altra.
La più costosa è la linea garantita (0,55%) e la meno costosa è la linea azionaria (0,17%), mentre si assestano a 0,27% le spese di gestione del comparto Bilanciato.
I costi di gestione applicati da Previdenza Cooperativa sono in linea con i costi dei fondi di categoria, quindi sono contenuti e molto simili ai costi di un ETF (strumento d’investimento indicizzato a gestione passiva, con costi inferiori rispetto a quelli degli investimenti a gestione attiva).

Infatti, come puoi vedere in questo grafico, Previdenza Cooperativa (pallino rosso) ha un ISC, ovvero un Indicatore Sintetico di Costo calcolato dalla COVIP, mediamente in linea o leggermente inferiore rispetto alla media degli altri fondi negoziali; rimane invece stabilmente inferiore rispetto alla media dei fondi aperti e dei PIP.
L’ISC viene calcolato dalla COVIP considerando un versamento annuo di 2.500 € e un rendimento netto del 4%. Questi due parametri costanti, nella vita reale sono due variabili, ma COVIP li ha stabiliti per poter confrontare i costi dei fondi.
Ecco di seguito l’ISC di Previdenza Cooperativa nei quattro scenari temporali previsti.

In ultimo, ti segnaliamo anche i costi che Previdenza Cooperativa applica alle diverse operazioni che potresti decidere di compiere durante la tua permanenza nel fondo.

Come puoi notare, Previdenza Cooperativa applica 15 € in caso di anticipazioni e riscatti, costo che aumenta a € 25 in presenza di un vincolo sulla posizione (es. cessioni del quinto, le delegazioni di pagamento, i pignoramenti verso terzi, ecc.).
Il costo del trasferimento volontario, non derivante dalla perdita dei requisiti di partecipazione al fondo, ha invece un costo di 10 €.
Tali costi, tuttavia, non verranno applicati se le richieste vengono trasmesse utilizzando l’Area Riservata Iscritti del fondo.
Sono invece gratuite le operazioni di prelievo per pensionamento, la riallocazione della posizione e dei nuovi contributi su altri comparti, l’erogazione della singola rata di RITA.
Si segnala infine il costo di 5 €, a carico del datore di lavoro, per l’attivazione obbligatoria di una copertura assicurativa in caso di premorienza o invalidità permanente che comporti la cessazione del rapporto di lavoro prevista a favore dei lavoratori iscritti del CCNL Servizi Ambientali.
Accordo datoriale
Essendo un fondo negoziale, Previdenza Cooperativa garantisce il contributo datoriale agli aderenti che desiderano sfruttare l’accordo.
Percentuali dei vari accordi
Le percentuali variano a seconda del tipo di lavoratore che si iscrive:
- per i soci lavoratori, la contribuzione è dovuta nelle misure stabilite nel Regolamento previsto dall’art. 6 della Legge 142/01 o in apposite delibere dell’assemblea dei soci della cooperativa
- per i soci lavoratori con rapporto di lavoro subordinato, la contribuzione è definita in misura complessivamente non inferiore a quella prevista dai Contratti Collettivi Nazionali di Lavoro (CCNL) a cui si fa riferimento nelle cooperative stesse
- per i lavoratori dipendenti, la contribuzione è disciplinata dai CCNL applicati o da accordi migliorativi di secondo livello.
Qui di seguito puoi trovare quelle previste nel tuo caso:

Se invece il contratto applicato fa riferimento a uno specifico CCNL:

Polizza assicurativa inclusa
Previdenza Cooperativa ha stipulato con Unipol Assicurazioni una polizza assicurativa che opera in caso di invalidità permanente che comporti la cessazione del rapporto di lavoro e in caso di decesso dell’aderente, garantendo all’iscritto o ai suoi beneficiari una somma all’accadere di uno dei due eventi previsti.
Tale opzione è disponibile per i soli aderenti ai CCNL Servizi Ambientali che, al momento, prevedono questa copertura assicurativa.
Il costo della copertura è interamente a carico dell’azienda e l’attuale convenzione con Unipol Assicurazioni è valida fino al 31 dicembre 2025.
Rendite previste
Al pensionamento, puoi decidere di ritirare il tuo fondo in rendita al 100% o, se vuoi anche una parte di capitale (massimo 50%), puoi avere una percentuale del fondo in rendita, minimo il 50%.
Previdenza Cooperativa ha stipulato due accordi per l’erogazione delle rendite.
Il primo è con Unipol Assicurazioni e, ad oggi, ti mette a disposizione questi tipi di rendita:
- Rendita vitalizia immediata che ti viene erogata finché sei in vita.
Quindi, se vivi molti anni potresti fare un ottimo affare perché il fondo continuerà a garantirti la rendita vitalizia anche se avrà esaurito il montante che era contenuto nel tuo fondo. Viceversa, se viene a mancare senza aver ritirato tutto, il capitale residuo se lo tiene la compagnia di assicurazioni selezionata da Previdenza Cooperativa.
- Rendita certa 5 anni.
È come una rendita vitalizia, ma se vieni a mancare prima dei 5 anni, Previdenza Cooperativa elargisce la rendita certa ai tuoi beneficiari finché, appunto, non sono terminati i 5 anni.
- Rendita certa 10 anni.
Identica alla rendita certa 5 anni, ma per un periodo di tempo doppio. - Rendita reversibile.
È una rendita che ti viene erogata finché vivi e, quando vieni a mancare, continua ad essere erogata al beneficiario superstite che hai scelto, finché questo è in vita. Puoi decidere anche la percentuale di reversibilità tra due opzioni: 100%, 80% o 60%. Presta attenzione all’età del tuo beneficiario perché se indichi qualcuno che ha molti meno anni di te, la tua rendita si riduce parecchio, in quanto viene calcolata sull’aspettativa di vita media del tuo beneficiario.
- Rendita controassicurata.
È una rendita che ti viene erogata finché sei in vita e, al tuo decesso, garantisce ai tuoi beneficiari la liquidazione dell’eventuale capitale residuo.
L’accordo con Unipol prevede che il capitale destinato ad essere erogato in rendita venga interamente investito in FONDICOLL UnipolSai, una speciale forma di gestione degli investimenti, separata da quella delle altre attività Unipol.
La Gestione Separata è strumento d’investimento tipicamente assicurativo che investe quasi esclusivamente in Titoli di Stato Italiani.
Il secondo accordo è stato sottoscritto con Assicurazioni Generali per l’opzione di rendita LTC (Long Term Care).
Questa rendita raddoppia l’importo se perdi la tua autosufficienza. Per non autosufficienza si intende l’incapacità di svolgere azioni elementari come, ad esempio, mangiare da solo, mantenere livelli di igiene adeguati, spostarti, vestirti. Il raddoppio dell’importo della rendita è subordinato all’accertamento del tuo stato di non autosufficienza. Non ti basterà dichiarare di essere in questa condizione, dovrai anche sottoporti ad accertamenti da parte della compagnia assicuratrice.
Non possono sottoscrivere questa tipologia di rendita gli iscritti di età superiore ai 70 anni.
Il raddoppio dell’importo della rendita non avviene se la perdita di autosufficienza sia causata da: attività dolosa dell’Aderente/Beneficiario o dalla partecipazione dell’Aderente a delitti dolosi. In questi casi la Compagnia erogherà esclusivamente la prestazione in caso di vita.
Il contratto con Assicurazioni Generali stabilisce che il capitale da trasformare in rendita venga investito esclusivamente nella gestione separata denominata Gestione Separata GESAV.
I vari tipi di rendita comportano costi differenti:

Non sono previsti costi di erogazione, ma a seconda di quanto frequentemente ci si fa corrispondere la rendita, cambiano i coefficienti di trasformazione.
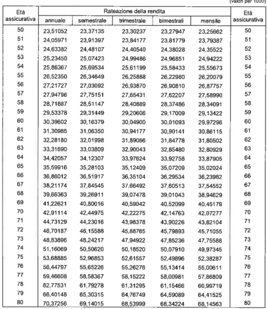
Coefficienti di trasformazione
L’importo della tua rendita varia in base ai coefficienti di trasformazione con cui viene calcolata.
Questi sono i moltiplicatori che vengono applicati per ottenere l’importo della rendita richiesta e variano in base all’età, al sesso, al tipo di rendita richiesta e alla frequenza di erogazione (frazionamento annuale, mensile, ecc…).
Prendendo a riferimento l’accordo sottoscritto con Unipol Assicurazioni, in Previdenza Cooperativa, l’età assicurativa è pari a: età effettiva + un DELTA.
Per esempio, un iscritto nato nel 1956 dovrà considerare come età assicurativa i 70 anni, dato che alla sua età anagrafica di 69 anni si aggiunge un anno in più previsto dal cosiddetto "delta". Al contrario, per un'iscritta nata nel 1960, l’età assicurativa coincide con quella reale, perché in questo caso il delta è pari a zero.

Vediamo ora i coefficienti di trasformazione e usiamo come esempio la tabella usata da Previdenza Cooperativa per il calcolo della rendita vitalizia per le donne.

Poniamo il caso di una pensionata donna di 67 anni che richiede a Previdenza Cooperativa la rendita vitalizia, con frazionamento annuale, avendo maturato 90.000 € nel fondo pensione.
Previdenza Cooperativa calcola:
90.000 € : 1000 = 90 €
90 € x 38,21174 (coefficiente donne, 67 anni, frazionamento annuale) = 3.439,06 € di rendita annua.
Se la stessa pensionata richiede la rendita vitalizia con frazionamento mensile, Previdenza Cooperativa calcola:
90.000 € : 1000 = 90 €
90 € x 37,54552 (coefficiente donne, 67 anni, frazionamento mensile) = 3.379,10 € di rendita annua da suddividere nelle varie mensilità.

Poniamo ora il caso di un pensionato uomo della stessa età (67 anni) che richiede a Previdenza Cooperativa la rendita vitalizia, avendo maturato, anch’egli, 90.000 € nel fondo pensione.
Previdenza Cooperativa calcola:
90.000 € : 1000 = 90 €
90 € x 44,22795 (coefficiente uomini, 67 anni, frazionamento annuale) = 3.980,52 € di rendita annua.
A parità di capitale maturato e di età, la rendita delle donne è più bassa di quella degli uomini, perché le donne hanno un’aspettativa media di vita più lunga.
Come abbiamo segnalato prima, l’importo non varia solo in base all’età e al sesso, ma anche in base al tipo di rendita richiesto.
Prendiamo sempre ad esempio la donna di 67 anni e il suo fondo pensione con 90.000 €.
Ecco come varia l’importo della rendita in base al tipo di rendita che sceglie.

Nell’esempio non è considerata la rendita reversibile, perché il suo importo varierebbe in base all’età del beneficiario.
Sono invece riportate tutte le rendite che verrebbero erogate alla pensionata finché è in vita.
Come vedi, all’aumentare della “certezza” di recupero del montante complessivo, diminuisce l’importo della rendita erogata, perché cambiano i coefficienti applicati.
Tieni conto che, in futuro, Previdenza Cooperativa potrebbe variare i costi che applica, così come potrebbe modificare i coefficienti di trasformazione delle rendite, in particolare se cambierà l’aspettativa media di vita.
Soglia a 67 anni
Se al pensionamento preferisci ritirare il tuo fondo al 100% in capitale, ti ricordiamo che questa opzione è esercitabile solo se il tuo fondo non supera una certa quantità economica.
Il d.Lgs 252/2005, infatti, prevede che, se il 70% del montante finale nel tuo fondo pensione, tramutato in rendita vitalizia, ti dà un importo annuo che supera il 50% dell’assegno sociale, non puoi avere tutto il fondo in capitale.
Nel 2025 l’assegno sociale vale 7.000 € circa.
Quindi, oggi, potresti ritirare tutto il tuo fondo pensione in capitale solo se la rendita vitalizia, ottenuta prendendo il 70% del tuo montante finale, valesse meno di 3.500 € all’anno.
Perché ciò avvenga il tuo fondo non deve superare una soglia quantitativa che varia, anch’essa, in base all’età e al sesso e, che a 67 anni, in Previdenza Cooperativa è attualmente pari a circa 110.000 € per gli uomini e a circa 130.000 € per le donne.
Gli importi soglia sono destinati ad aumentare dal momento che l’assegno sociale verrà periodicamente ricalcolato.
Come trovare Previdenza Cooperativa nel Comparatore di Ciao Elsa*
In ultimo, vediamo come il comparatore di Ciao Elsa può aiutarti a decidere se Previdenza Cooperativa è la scelta migliore per te.
Cominciamo la comparazione:
Inserisci la tua data di nascita e che tipo di lavoratore sei, cioè dipendente del settore privato.
Inserisci ora la tua attività lavorativa: ipotizziamo che tu sia un dipendente di un’impresa della Distribuzione Cooperativa.
Fai sapere al comparatore dove hai attualmente il TFR: in azienda, in un fondo pensione, in un fondo di categoria oppure… non lo sai.
Poniamo il caso tu l’abbia lasciato in azienda e proseguiamo.
Inserisci ora il tuo reddito annuo lordo (ad esempio 30.000 €) e decidi se vuoi effettuare la simulazione con il TFR.
Il comparatore calcolerà l’importo preciso del tuo TFR annuo, che è il 6,91% della tua RAL.
Andando avanti puoi anche decidere se procedere alla simulazione solo con il TFR oppure aggiungendo un tuo contributo volontario quantificato in 50, 100, 200, 300, 400 o 500 euro al mese.
Come preferisci tu!
Ipotizziamo qui 100 € al mese e andiamo avanti.
A questo punto ti vengono poste tre domande che necessitano di piccoli ma fondamentali approfondimenti.
- Qual è la tua propensione al rischio?
Se ti senti incerto nel dare questa risposta, ti abbiamo messo a disposizione un piccolo video in cui ti spieghiamo, in 40 secondi, che cosa si intende per propensione al rischio e, sulla base di queste informazioni, puoi decidere se la tua propensione è bassa, media o alta.
- Quanto ti senti preparato finanziariamente?
Anche in questo caso, cliccando su “come faccio a saperlo”, ti spieghiamo in un breve video cosa si intende quando si dice che si è poco, abbastanza o molto preparati finanziariamente.
- Vuoi vedere i fondi con contributo del datore in cima alla lista?
Il nostro comparatore è l’unico strumento in cui trovi la possibilità di simulare i fantomatici “soldi gratis” a partire dalla tua situazione specifica!
Fatta la scelta, rispondendo ad esempio “sì” per l’ultima domanda, inserisci la tua email e procedi alla comparazione.
Può capitare che nell’elenco non compaiano subito le informazioni relative a Previdenza Cooperativa. Questo accade perché il comparatore utilizza i rendimenti storici degli ultimi dieci anni e assegna a ciascun utente una linea di investimento in base agli anni che mancano alla pensione di vecchiaia (attualmente fissata a 67 anni).
Nel caso di Previdenza Cooperativa, solo il comparto Garantito Sicuro ha una storicità decennale, mentre i comparti Bilanciato e Dinamico sono stati avviati soltanto nel 2020. Per questo motivo, se il comparatore individua come più adatta per la tua età una linea obbligazionaria, bilanciata o azionaria, il fondo non viene mostrato subito nei risultati.
Per visualizzare anche i dati di Previdenza Cooperativa, è sufficiente entrare nella sezione “Filtri” e selezionare la linea di investimento Garantita oppure ridurre il periodo di confronto a 3 anni in modo che i comparti Bilanciato e Dinamico abbiano i dati storici necessari per apparire nel confronto.
Un ulteriore vantaggio calcolato dal comparatore riguarda il contributo del datore di lavoro: se, ad esempio, sei dipendente di un'impresa della Distribuzione Cooperativa, destinando il TFR a Previdenza Cooperativa, il fondo riceve infatti 465 € in più all’anno, versati direttamente dal datore di lavoro.
Appena sopra l’indicazione “soldi gratis” trovi un’informazione fondamentale: la performance degli ultimi 10 anni espressa in percentuale.
Questo risultato l’abbiamo calcolato noi di Ciao Elsa incrociando i dati dei rendimenti storici della linea d’investimento, estrapolati dal sito COVIP, e l’impatto dei costi applicati dal fondo sugli importi precisi che tu vuoi versare, considerando che tu abbia effettuato un versamento ricorrente annualizzato.
Se apri la tendina “mostra dettagli”, trovi elencati proprio i costi di Previdenza Cooperativa e nello specchietto sotto trovi quanto ci sarebbe ora in Previdenza Cooperativa ipotizzando che tu avessi cominciato a versarci il TFR e 100 € al mese 10 anni fa.
Se ora ti sembra tutto chiaro, ma poi davanti al comparatore ti torna qualche dubbio, sappi che, accanto alla percentuale, trovi una piccola Ⓘ e ti basterà cliccarci sopra per vedere il video in cui ti raccontiamo in dettaglio come abbiamo costruito questo risultato.
Trovi elencati anche tutti i dati che abbiamo utilizzato, compreso il rendimento storico diverso da linea a linea.
*(Prima dell’adesione leggere la Parte I “Le informazioni chiave per l’aderente” e l’Appendice “Informativa sulla sostenibilità” della Nota Informativa”: maggiori informazioni sulla forma pensionistica sono rinvenibili nella Nota informativa completa, nello statuto/regolamento e, per i PIP, anche nelle condizioni generali di contratto, disponibili sul sito web del fondo. Le informazioni relative ai prodotti finanziari presenti in questo contenuto non costituiscono una raccomandazione o un invito all'acquisto o alla vendita di alcun prodotto finanziario né costituiscono consulenza in materia di investimenti.)
Come aderire a Previdenza Cooperativa
Per aderire a Previdenza Cooperativa, devi scaricare la modulistica di adesione o compilare il modulo di preadesione online (ti anticipiamo che dovrai ugualmente scaricare e stampare il documento).
Vai nel sito del fondo Previdenza Cooperativa e visita la sezione “aderisci”. Ora devi procedere in autonomia alla compilazione.
Elsa moduli
Se non ti senti sicuro e vuoi una mano, puoi prenotare il nostro servizio Elsa Moduli, che costa 59 € e in 20 minuti ti risolve il problema.
Infatti, uscirai dalla call con l’incartamento necessario tutto compilato e pronto per essere portato al tuo datore di lavoro.
Puoi prenotare questo servizio dal nostro sito, oppure dal comparatore, dove trovi un tasto giallo proprio sotto il tasso di performance di Previdenza Cooperativa.

